能源视窗

聊聊电池管理中的SOC算法

发布时间:2016-03-09 09:31:00   浏览次数:1721

前阵子林学长《什么才是动力电池管理系统(BMS)的核心技术?》算是比较科普的,正好在广州的一个会议,我与学长聊了一会,所以我在这个基础上做一些阐述。这里我们分三篇文章来写:

1)电池SOC计算

2)电池容量计算

3)电池寿命建立和预测

    本文的文章主要来自林学长和汤前辈两位大拿的文章和**,感兴趣的可以读一读,主要有一份PPT、一篇文章和两份**,其他相关的**我就不纳入在内:

1)《Li-Ion Battery State Estimation and Prognosis》 MutasimSalman、XidongTang和Xiaofeng. Mao

2)《Li-ion Battery Parameter Estimation for State of Charge Xidong Tang, Xiaofeng Mao, Jian Lin, and Brian Koch

3)US20110309838 《APTIVE BATTERY PARAMETER PXTRACTION AND SOC ESTIMATION FOR ITHIUM'ION BATTERY》

4)US20090091299 《DYNAMICALLY ADAPTIVE METHOD FOR DETERMINING THE sTATE OF CHARGE OF A BATTERY》

背景:

   在林汤两位之前,SOC的算法主要的问题,是SOC的算法需要知道初始的SOC、需要知道电池的容量,在计算过程中由于测量误差(V、I和T采集参量的误差)会累积、从一个错误的值上面很难回归,还有一个有趣的就是在车辆运行的充放电的行为会跳来跳去。这里我们再展开一下:

1)初始的SOC:由于整个电池包,单体、模组甚至整包都会有自放电和漏电流两项,导致长时间停放这种模式下,真实的SOC就会漂移。

2)容量:其实按照我们现在已知的概念,如果类似韩国那种直接出来,电池出厂到上车容量就是会有偏移,哪怕分了容,用一阵子就会变。

3)错误的累积和突然误差:林学长给我看了个图,是某车在实际的运行中的问题,整包的SOC工作在20%左右,突然某单体陷入保护模式,车主给拖回去了。错误的累积如果无法及时纠正,你面临两难选择,透支单体进行Limp home回家,或者直接拖车回家/


     他们两位的理念,就是使用OCV纠正的模式来操作。这里的基本概念,还是OCV来对应SOC的计算,可以与初始值和测量的积累误差分离,所以他们核心的思路,就是设置比例来融合两个参考值。

   当然说法也可以说是用OCV来矫正,不管是谁,总体的做法是差不多的。


 总体步骤的区别不大,在于OCV的校正方法

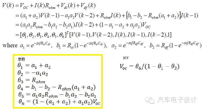
1)基于HPPC的数据,建立一个二阶模型


2)通过递归的*小二乘法来调整模型参数,通过对比模型的输入输出与测量的实际结果值


3)通过等效的RC模型,获取OCV


4)从Voc里面分离电池的温度动态电压(Vo),这里需要去除滞回电压(Vh)


5)纠正温度对应Vo和SocV

6)**再决定权重,这段关于稳定性的东西没看太懂


参考如下

所以林学长说

  • 在线实时估算电池组的电池参数从而精确估算出电池组的SOC,

  • 能在短时间内纠正初始SOC超过10%的误差以及超过20%的安时容量的误差

  • 可纠正百分之几的电流测量误差。

   算法可以在电池的整个生命周期中始终保持估算精度不变


小结:

1)基于模型的考虑肯定是要有的,做卡尔曼滤波啥的,对MCU的运算速度还是有要求的,林学长和汤前辈两位算是开山前辈了,大家可以借鉴一下

2)这块算法的东西,说白了就是一张纸,靠**保护了,至于具体的修正模型、电压精度和电流精度对系统的影响,这些就靠系统的本身来决定了

Copyright © 2016 南京格致高新环保技术有限公司 All Right Reserved.